背景
兩耳全聾者無法以聲音刺激來誘發全神經活動電位或腦幹聽性反應而得知其聽閾,但植入人工耳蝸(電子耳)後可以利用電刺激取代聲音刺激來誘發全神經活動電位和腦幹聽性反應,有助於瞭解植入的人工耳蝸的各電極的作用情形。核式24型人工耳蝸的特點是不只可測量電刺激誘發的腦幹聽性反應,還可測量電刺激誘發的全神經活動電位,更有利於相關的研究。
材料和方法
17例澳洲Nucleus 24型人工耳蝸植入者,在清醒狀態下接受電刺激誘發全神經活動電位的測量,年齡最大的33歲2個月,最小的2歲1個月,男性10名,女性7名。選擇性測量經由人工耳蝸的第5﹑10﹑15和20電極(相對應的記錄電極分別為第7﹑12﹑17和22電極)刺激誘發的全神經活動電位。
結果
經由人工耳蝸電極刺激而誘發的全神經活動電位呈雙相波形,先出現負波N1,然後正波P2。17例總共測得63個電極的電刺激誘發全神經活動電位,N1潛時範圍 0.28~0.42 ms,平均值0.34 ±0.03 ms;P2潛時範圍0.52~0.79 ms,平均值0.67 ±0.06 ms,振幅範圍27.2~189.9 mV,平均值87.5 ±43.6 mV。電刺激誘發全神經活動電位的潛時長短或振幅大小均不受刺激電極的位置影響。
結論
經由核式24型人工耳蝸電刺激誘發的全神經活動電位的再現性良好,利用本報告測量電刺激誘發全神經活動電位的方法與經驗,可進一步研究人工耳蝸電刺激誘發全神經活動電位與植入後聽知覺語言能力的關係。

Key words: electrically evoked whole nerve action potential,cochlear implant, electrical stimulation,neural response (電刺激誘發全神經活動電位,人工耳蝸,電刺激,神經反應)
引言
人工耳蝸(電子耳,cochlear implant) 已經證實可以改善兩耳極重度聽障或全聾患者的語言聽知覺能力1-4。人工耳蝸植入者的聽覺神經系統對電刺激反應與植入後的語言聽知覺能力的改善有關,而測量此種聽覺神經反應的方法包括電刺激誘發腦幹聽性反應 (electrically evoked auditory brainstem responses, E-ABR) 3, 5-7、電刺激誘發中潛時反應 (electrically evoked middle latency auditory responses, E-MLR) 3, 8和電刺激誘發長潛時反應 (electrically evoked late responses)3, 9。測量電氣生理反應被認為能有效評估聽覺神經系統的狀況和決定人工耳蝸植入後的效果,故很多的研究報告均利用此等電刺激誘發聽性反應來預估人工耳蝸植入後的語言聽知覺能力3, 6, 10;然而直接測量聽神經反應更能有效評估殘存聽神經元數目和人工耳蝸植入的效果。最直接測量聽神經反應的方法應該是電刺激誘發的全神經活動電位(electrically evoked whole nerve action potentials or electrically evoked compound action potentials, EAP),核式24型人工耳蝸 (Nucleus-24 cochlear implant)的特點是除可測量電刺激誘發腦幹聽性反應外,還可用來測量電刺激誘發的全神經活動電位(EAP)。不過在核式24型人工耳蝸問世之前,電刺激誘發的全神經活動電位(EAP)只有在手術時利用另外特製的電極束插入耳蝸,或Ineraid型人工耳蝸才能測量,因此不普遍11, 12。

人工耳蝸植入者的聽知覺行為反應(auditory behavioral response)對其語言聽知覺能力的改善非常重要,但年幼的人工耳蝸植入者經常不易測得可靠的聽知覺行為反應閾級(T-level)和舒適級(C-level),經由測量電刺激誘發聽性反應的閾值 (客觀的檢查),有助於人工耳蝸設定各電極的聽知覺行為反應閾級和舒適級。測量電刺激誘發腦幹聽性反應 (E-ABR)時,除必須使用表面電極置於耳垂、上額頭和眉間和連接腦幹聽性反應檢查儀外,且干擾多又費時,故比較不方便施行。而核式24型人工耳蝸可測量電刺激誘發全神經活動電位(EAP),測量方法比E-ABR簡單、方便、干擾少和省時,又可在清醒狀態下施行,更有利於臨床應用。本文目的是報告我們測量核式24型人工耳蝸植入者的電刺激誘發全神經活動電位的經驗和初步結果。
材料和方法
本部自1998年3月至1999年7月止,總共施行30例澳洲Nucleus 24型人工耳蝸植入手術,其中17例接受電刺激誘發全神經活動電位的測量,年齡最大的33歲2個月,最小的2歲1個月,男性10名,女性7名。測量電刺激誘發全神經活動電位時,全部病例都在清醒狀態下施行,舒適地坐在椅子上玩玩具、畫圖或看書。

測量設備及裝置:程式控制介面盒(programming control interface box, PCI)一邊連接澳洲核式 24型人工耳蝸的SPrint語音處理機 (speech processor),另一邊經由IF5卡連接IBM相容的電腦。電刺激操作軟體是NRT v2.04 (Nucleus廠牌,澳洲)。電刺激採單極刺激產生的雙相脈衝電流 (biphasic pulse),而刺激電極與記錄電極相間隔1個電極,因考慮時間因素,只選擇性測量人工耳蝸的第5﹑10﹑15和20電極的電刺激誘發全神經活動電位 (參考電極為耳蝸外電極MP1),而記錄電極分別為第7﹑12﹑17和22電極 (參考電極為耳蝸外電極MP2)。

電刺激變數設定如下:脈衝速率80 Hz (pulse rate),脈衝寬 25ms (pulse width,範圍25~400ms),電刺激強度單位為澳洲Nucleus廠設定的cl (current level),電刺激強度介於1~255cl,電刺激包括probe stimulus、masker-probe stimulus和masker stimulus等3種,masker強度比probe最大刺激強度大10 cl,且維持此固定值,刺激間隔時間500 ms (interstimulus interval,ISI)。

記錄變數設定如下:sweep 100次,增幅器增益60 dB (amplifier gain),測量延遲時間50 ms (measurement delay)。

經由人工耳蝸的電刺激誘發全神經活動電位的測量步驟:先測量第20電極,年齡較大者可由最舒適的強度開始刺激,年齡較小者可由210 cl的強度開始刺激,然後每次減弱5 cl,繼續刺激至不再出現可辨識的全神經活動電位波形為止;若開始刺激的強度無法產生全神經活動電位波形,則刺激強度每次增強5 cl,繼續刺激至出現可辨識的全神經活動電位波形為止,而可誘發出全神經活動電位波形的最小電刺激強度即為電刺激誘發全神經活動電位的閾級值。接著順序測量第15、10和5電極,測量方法完全相同。可視情形改變電刺激的脈衝寬、脈衝速率、增幅器增益、sweep次數或測量延遲時間,以便測得電刺激誘發全神經活動電位。
結果
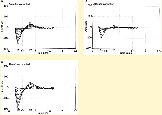
經由人工耳蝸電極刺激而誘發的典型全神經活動電位呈現雙相波形,先出現負波N1,然後正波P2,兩波間電位定為電刺激誘發全神經活動電位的振幅 (圖1)。17例總共測得63個電極的電刺激誘發全神經活動電位,電刺激誘發全神經活動電位具下列特性: 1)同病例的不同電極的電刺激誘發全神經活動電位的振幅差異大,但各個刺激電極的誘發全神經活動電位均隨著電刺激強度的增強而變大(圖2)。2) 同病例刺激電極的位置和以閾值刺激所誘發的全神經活動電位的振幅大小無關(圖3)。3)同病例之刺激電極的位置和其誘發全神經活動電位的潛時長短無關,即同病例的不同刺激電極所誘發的全神經活動電位潛時長短幾乎相同(圖3)。4)不同病例間的N1潛時差異不大,P2潛時亦差異不大。表1顯示以各電極的閾值刺激所產生的電刺激誘發全神經活動電位的潛時和振幅,N1潛時範圍 0.28~0.42 ms,平均值0.34 ±0.03 ms; P2潛時範圍0.52~0.79 ms,平均值0.67 ±0.06 ms; 振幅範圍27.2~189.9 mV,平均值87.5 ±43.6 mV。
圖一
圖二
圖三
討論
由我們的測量結果可見電刺激誘發的全神經活動電位波形隨著電刺激強度的增強而振幅更大更清楚,且反應波形的再現性良好,故可確認是電刺激誘發全神經活動電位,這是國內的首次報告。測量電刺激誘發全神經活動電位時必須考慮增幅器線性 (amplifier linearity) 和增幅器飽和性 (amplifier saturation) 的問題,此2因素均會影響全神經活動電位的記錄,所以有時必須增長測量延遲時間、減少增幅器增益或改變電刺激脈衝寬,以便測得電刺激誘發全神經活動電位13,我們的經驗亦如此。

國外報告N1潛時範圍0.20~0.40 ms12-14,P2潛時範圍0.60~0.70 ms12, 13,本研究結果與此相似。國外有報告當電刺激強度增強時,N1潛時會稍微變短13,但我們的結果顯示同一電極所誘發的N1潛時幾乎不隨電刺激強度增強而改變。 電刺激誘發腦幹聽性反應 (E-ABR)的潛時長短或振幅大小均受刺激電極的位置影響5, 15,但本研究的結果顯示電刺激誘發全神經活動電位(EAP)卻不同,即電刺激誘發全神經活動電位的潛時長短不受刺激電極的位置影響,且振幅大小與刺激電極的位置無關。此乃因電刺激誘發腦幹聽性反應是採雙極刺激,而本研究的電刺激誘發全神經活動電位是採單極刺激的緣故。如果採雙極刺激則誘發全神經活動電位亦會受刺激電極的位置影響12。本研究中沒測出電刺激誘發全神經活動電位的5個電極分屬於5個病例,其中2個是第5個電極,這2個病例本來手術時插入的電極數較少,第5個電極均在耳蝸外,所以未能測到電刺激誘發全神經活動電位;另外2個是第10個電極,1個是第15個電極,未能測到電刺激誘發全神經活動電位可能與電極本身有關(如電阻太大),或相對位置附近的殘存神經纖維和神經元太少的緣故。電極電阻太大與否可以藉由電氣檢查(Telemetry)來排除。因為人工耳蝸植入者的耳蝸軸 (modiolus) 內殘存神經元分布並不平均,殘存神經元太少的部位的電極不但無法測出全神經活動電位12, 14,也無法發揮作用。核式24型人工耳蝸使用者的電刺激誘發全神經活動電位(EAP)的測量結果,有下列用途:1)人工耳蝸可用電極的選擇參考,2) 幫助人工耳蝸頻譜設定時閾級和舒適級的決定,3)語言處理策略(如Speak、continuous interleaved sampling -CIS、advanced combination encoding-ACE等)的選擇參考12, 13。

人工耳蝸植入者的聽知覺行為反應閾級和舒適級的測定對其語言聽知覺能力的改善非常重要,年幼的人工耳蝸植入者經常不易測得可靠的聽知覺行為反應閾級和舒適級,而客觀的電刺激誘發全神經活動電位閾值或電刺激誘發腦幹聽性反應閾值的測定對人工耳蝸設定聽知覺行為反應閾級和舒適級有莫大的幫助。核式24型人工耳蝸的特點是不只可測量電刺激誘發腦幹聽性反應外,還可測量電刺激誘發全神經活動電位,而後者的測量比較簡單、方便又省時,更具實用性。國內外報告均顯示電刺激誘發腦幹聽性反應閾級值與聽知覺行為反應舒適級值相近6, 7, 15, 16,而電刺激誘發全神經活動電位和聽知覺語言能力的關係則是目前研究的熱門題目11-14。我們將利用本報告測量電刺激誘發全神經活動電位的方法與經驗進一步研究人工耳蝸電刺激誘發全神經活動電位與植入後聽知覺語言能力的關係。
參考文獻
1. Huang TS, Wang NM, Liu SY: Tone perception of Mandarin-speaking postlingually deaf implantees using the Nucleus 22-channel cochlear mini system. Ann Otol Rhinol Laryngol 1995;Suppl 166:294-298.

2. Hsu CJ, Lin CD, Su YJ, Horng MJ: Experience in cochlear implantation at National Taiwan University. Adv Otorhinolaryngol 1997;52:236-239.

3. Groenen PAP, Makhdoum M, Van den Brink JL, Stollman MHP, Snik AFM, Van den Broek P: The relation between electric auditory brain stem and cognitive responses and speech perception in cochlear implant users. Acta Otolaryngol (Stockh) 1996;116:785-790.

4. Cohen NL, Waltzman SB, Roland JT, Staller SJ, Hoffman RA: Early results using the nucleus CI24M in children. Am J Otol 1999;20:198-204.

5. Gallego S, Micheyl C, Berger-Vachon C, Truy E, Morgon A, Collet L: Ipsilateral ABR with cochlear implant. Acta Otolaryngol (Stockh) 1996;116:228-233.

6. Shallop JK, VanDyke L, Goin DW, Mischke RE: Prediction of behavioral threshold and comfort values for Nucleus 22-channel implant patients from electrical auditory brain stem response test results. Ann Otol Rhinol Laryngol 1991;100:896-898.

7. Brown CJ, Abbas PJ, Fryauf-Bertschy H, Kelsay D, Gantz BJ: Intraoperative and postoperative electrically evoked auditory brain stem responses in Nucleus cochlear implant users: implications for the fitting process. Ear Hear 1994;15:168-176.

8. Kileny PR, Kemink JL: Electrically evoked middle latency auditory potentials in cochlear implant candidates. Arch Otolaryngol Head Neck Surg 1987;113:1072-1077.

9. Kraus N, Micco AG, Koch DB, et al: The mismatch negativity cortical evoked potential elicited by speech in cochlear implant users. Hear Res 1993;65:118-124.

10. Mason SM, Sheppard S, Garnham CW, Lutman ME, O’Donoghue GM, Gibbin KP: Application of intraoperative recordings of electrically evoked ABRs in a paediatric cochlear implant programme. Adv Otorhinolaryngol 1993;48:136-141.

11. Gantz BJ, Brown CJ, Abbas PJ: Intraoperative measures of electrically evoked auditory nerve action potential. Am J Otol 1994;15:137-144.

12. Brown CJ, Abbas PJ, Borland J, Bertschy MR: Electrically evoked whole nerve action potentials in Ineraid cochlear implant users: responses to different stimulating electrode configurations and comparison to psychophysical responses. J Speech Hear Res 1996;39:453-467.

13. Abbas PJ, Brown CJ, Shallop JK, et al: Summary of results using the Nucleus CI24M implant to record the electrically evoked compound action potential. Ear Hear 1999;20:45-59.

14. Brown CJ, Abbas PJ, Gantz BJ: Preliminary experience with neural response telemetry in the Nucleus CI24M cochlear implant. Am J Otol 1998;19:320-327.

15. 許權振,林凱南,洪美枝:經由人工電子耳蝸電刺激之誘發性腦幹聽性反應。中耳醫誌1997;32: 695-700。

16. Brown CD, Antognelli T, Gibson WPR: Auditory brain stem response evoked by electrical stimulation with a cochlear implant. Adv Otorhinolaryngol 1993;48:125-129.
表 1 經人工耳蝸之電刺激誘發全神經活動電位之潛時和振幅
圖片說明
圖1 核式24型人工耳蝸使用者之電刺激誘發全神經活動電位,N1 負波,P2 正波,N1 P2振幅(?)。

圖2 同一刺激電極之誘發全神經活動電位潛時、振幅和電刺激強度的關係。右側數字代表電刺激強度(cl),電刺激誘發全神經活動電位閾值175 cl,電刺激強度越大,全神經活動電位越大,但N1潛時、P2潛時幾乎不變。

圖3 同病例的不同刺激電極所誘發的全神經活動電位潛時長短幾乎相同,但振幅變異大。(A) 第5電極的誘發全神經活動電位,N1潛時 0.33 ms、P2潛時0.78 ms、最小N1 P2振幅 65.4 mV (以閾值刺激所誘發的全神經活動電位)。(B) 第10電極的誘發全神經活動電位,N1潛時 0.34 ms、P2潛時0.79 ms、最小N1 P2振幅 38.3 mV。(C) 第15電極的誘發全神經活動電位,N1潛時 0.32 ms、P2潛時0.78 ms、最小N1 P2振幅 84.7 mV。
Electrically Evoked Whole Nerve Action Potentials in Users of the Nucleus 24 Cochlear Implant System

Chuan-Jen Hsu, Kai-Nan Lin, and Mei-Ji Horng

ABSTRACT

Background: Auditory behavioral threshold can be estimated by electrically evoked brainstem response (E-ABR) or electrically evoked whole nerve action potential (EAP) in users of cochlear implants. Both E-ABR and EAP can be measured via the Nucleus 24 cochlear implant (CI) system. The purpose of this report is to describe our experience in performing EAP measurements in users of the Nucleus-24 CI.